Официальное опубликование правовых актов
ОФИЦИАЛЬНОЕ ОПУБЛИКОВАНИЕ
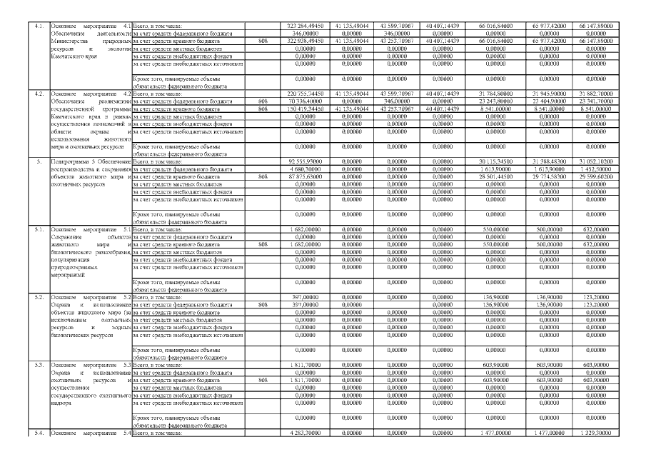
Постановление Правительства Камчатского края от 05.07.2021 № 286-П
"О внесении изменений в государственную программу Камчатского края "Охрана окружающей среды, воспроизводство и использование природных ресурсов в Камчатском крае", утвержденную постановлением Правительства Камчатского края от 03.11.2017 № 460-П"
Номер опубликования: 4100202107060004
Дата опубликования: 06.07.2021
Страница №25 из 26:
Увеличить