Официальное опубликование правовых актов
ОФИЦИАЛЬНОЕ ОПУБЛИКОВАНИЕ
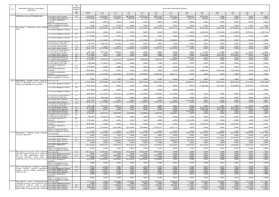
Постановление Правительства Камчатского края от 11.06.2021 № 255-П
"О внесении изменений в постановление Правительства Камчатского края от 22.11.2013 № 520-П "Об утверждении государственной программы Камчатского края "Обеспечение доступным и комфортным жильем жителей Камчатского края"
Номер опубликования: 4100202106110002
Дата опубликования: 11.06.2021
Страница №29 из 48:
Увеличить