Официальное опубликование правовых актов
ОФИЦИАЛЬНОЕ ОПУБЛИКОВАНИЕ
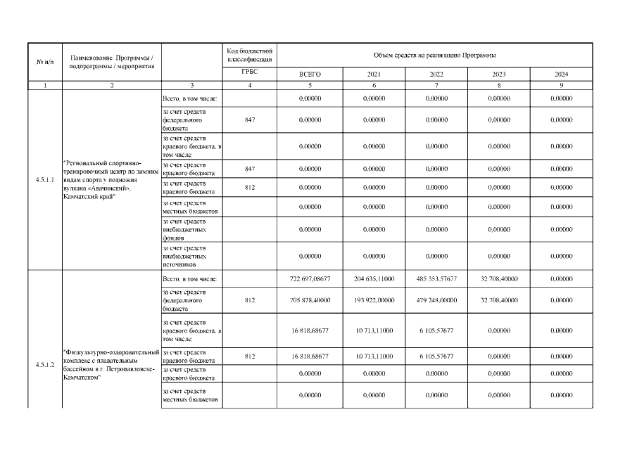
Постановление Правительства Камчатского края от 26.05.2021 № 198-П
"О внесении изменения в приложение к постановлению Правительства Камчатского края от 29.11.2013 № 552-П "О государственной программе Камчатского края "Физическая культура, спорт, молодежная политика, отдых и оздоровление детей в Камчатском крае"
Номер опубликования: 4100202105270025
Дата опубликования: 27.05.2021
Страница №47 из 66:
Увеличить