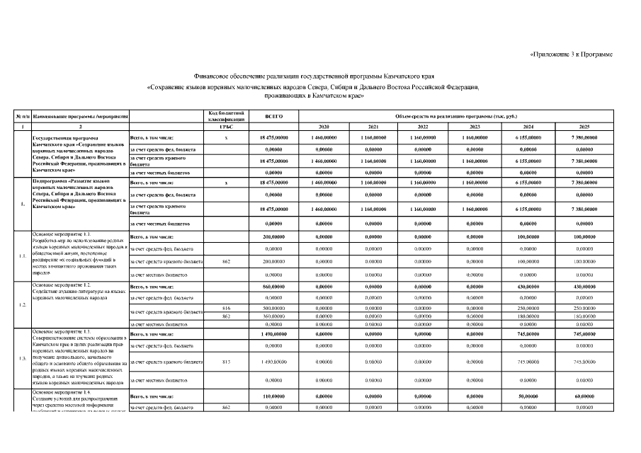
Постановление Правительства Камчатского края от 04.05.2021 № 170-П
"О внесении изменений в государственную программу Камчатского края "Сохранение языков коренных малочисленных народов Севера, Сибири и Дальнего Востока Российской Федерации, проживающих в Камчатском крае", утвержденную постановлением Правительства Камчатского края от 22.11.2019 № 497-П"
"О внесении изменений в государственную программу Камчатского края "Сохранение языков коренных малочисленных народов Севера, Сибири и Дальнего Востока Российской Федерации, проживающих в Камчатском крае", утвержденную постановлением Правительства Камчатского края от 22.11.2019 № 497-П"
Номер опубликования: 4100202105060006
Дата опубликования:
06.05.2021
