Официальное опубликование правовых актов
ОФИЦИАЛЬНОЕ ОПУБЛИКОВАНИЕ
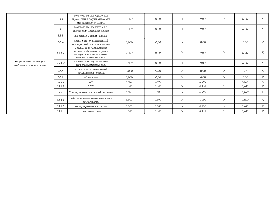
Постановление Правительства Камчатского края от 21.12.2020 № 514-П
"О внесении изменений в приложение к постановлению Правительства Камчатского края от 20.12.2019 № 546-П "Об утверждении Территориальной программы государственных гарантий бесплатного оказания гражданам медицинской помощи на территории Камчатского края на 2020 год и на плановый период 2021 и 2022 годов"
Номер опубликования: 4100202012220007
Дата опубликования: 22.12.2020
Страница №12 из 13:
Увеличить