Официальное опубликование правовых актов
ОФИЦИАЛЬНОЕ ОПУБЛИКОВАНИЕ
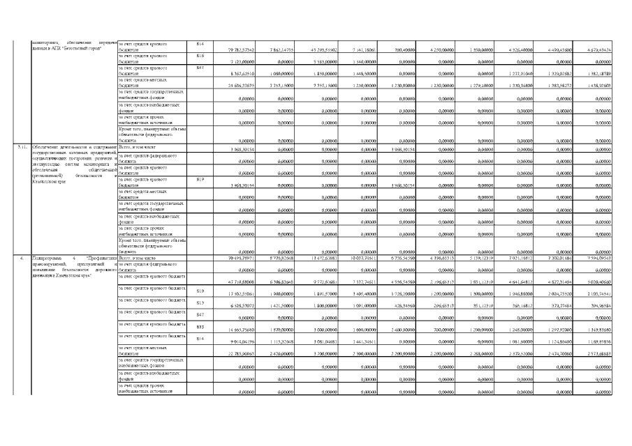
Постановление Правительства Камчатского края от 12.10.2020 № 401-П
"О внесении изменений в государственную программу Камчатского края "Безопасная Камчатка", утвержденную постановлением Правительства Камчатского края от 14.11.2016 № 448-П"
Номер опубликования: 4100202010140012
Дата опубликования: 14.10.2020
Страница №23 из 45:
Увеличить