Официальное опубликование правовых актов
ОФИЦИАЛЬНОЕ ОПУБЛИКОВАНИЕ
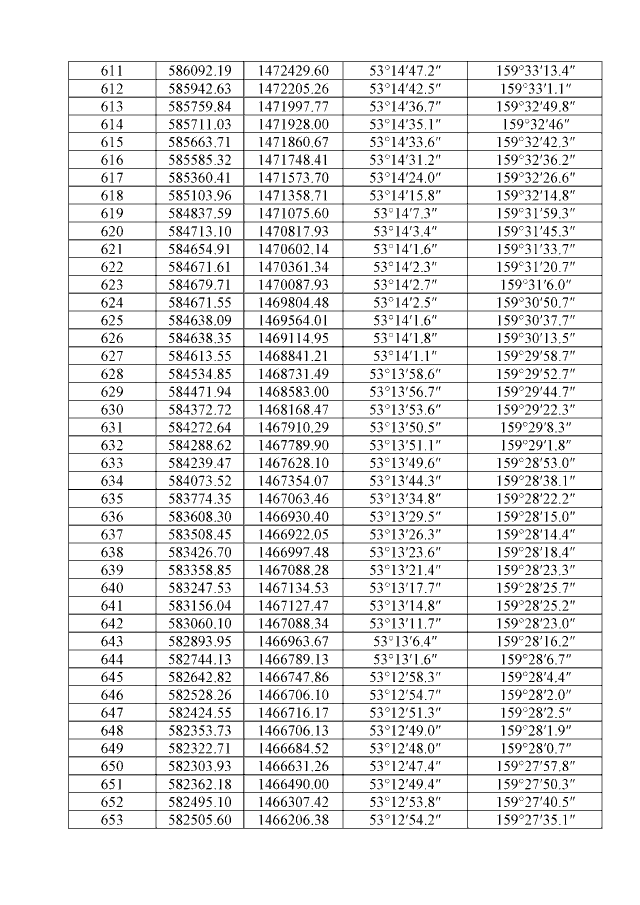
Постановление Губернатора Камчатского края от 29.06.2020 № 114
"О внесении изменений в постановление главы администрации Камчатской области от 18.08.1995 № 194 "О создании природного парка "Налычево"
Номер опубликования: 4100202006290001
Дата опубликования: 29.06.2020
Страница №117 из 133:
Увеличить