Официальное опубликование правовых актов
ОФИЦИАЛЬНОЕ ОПУБЛИКОВАНИЕ
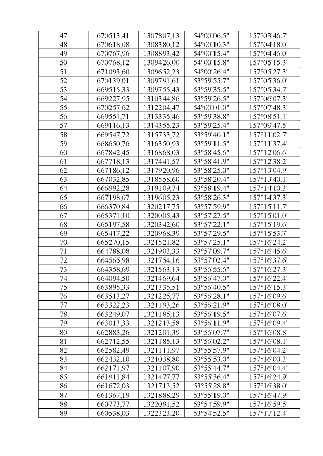
Постановление Губернатора Камчатского края от 11.06.2020 № 96
"О внесении изменений в постановление губернатора Камчатской области от 25.04.2006 № 206 "Об образовании государственного экспериментального биологического (лососевого) заказника регионального значения "Река Коль"
Номер опубликования: 4100202006110002
Дата опубликования: 11.06.2020
Страница №18 из 24:
Увеличить