Официальное опубликование правовых актов
ОФИЦИАЛЬНОЕ ОПУБЛИКОВАНИЕ
Постановление Правительства Камчатского края от 12.05.2020 № 194-П
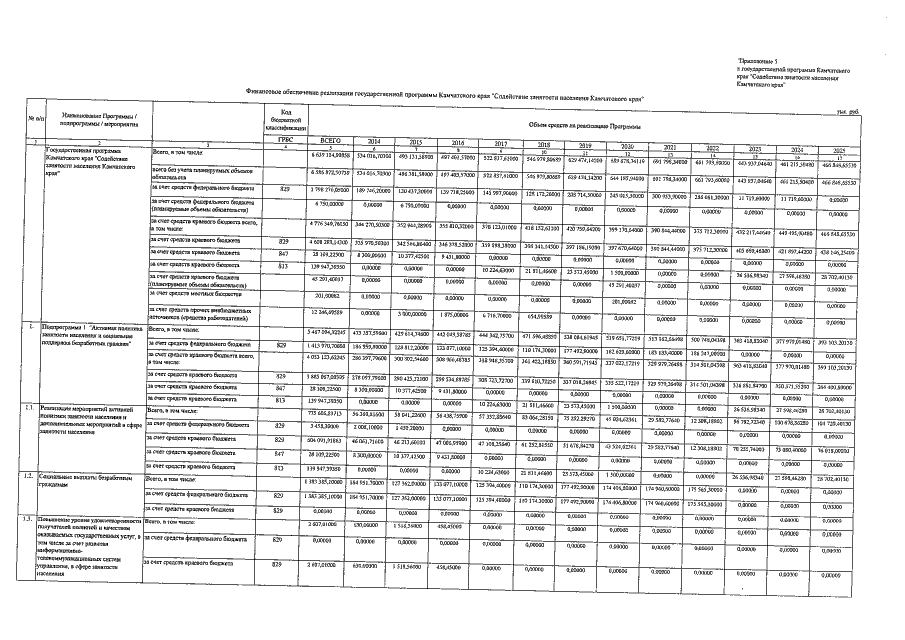
"О внесении изменений в государственную программу Камчатского края "Содействие занятости населения Камчатского края", утвержденную постановлением Правительства Камчатского края от 11.11.2013 № 490-П"
Номер опубликования: 4100202005140004
Дата опубликования: 14.05.2020
Страница №10 из 17:
Увеличить