Официальное опубликование правовых актов
ОФИЦИАЛЬНОЕ ОПУБЛИКОВАНИЕ
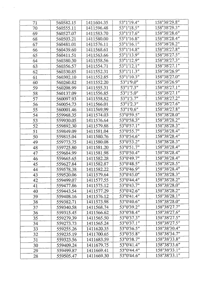
Постановление Правительства Камчатского края от 03.04.2020 № 121-П
"О памятнике природы регионального значения "Сопка Никольская"
Номер опубликования: 4100202004080003
Дата опубликования: 08.04.2020
Страница №12 из 17:
Увеличить