Официальное опубликование правовых актов
ОФИЦИАЛЬНОЕ ОПУБЛИКОВАНИЕ
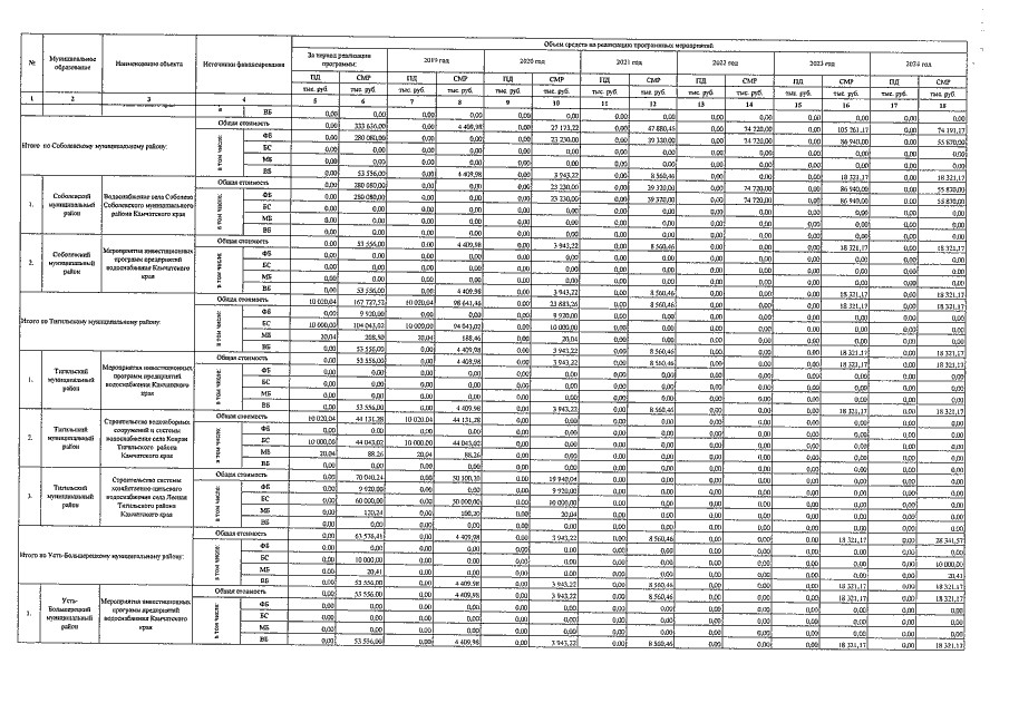
Постановление Правительства Камчатского края от 23.03.2020 № 98-П
"О внесении изменений в государственную программу Камчатского края "Энергоэффективность, развитие энергетики и коммунального хозяйства, обеспечение жителей населенных пунктов Камчатского края коммунальными услугами", утвержденную постановлением Правительства Камчатского края от 29.11.2013 № 525-П"
Номер опубликования: 4100202003250001
Дата опубликования: 25.03.2020
Страница №26 из 33:
Увеличить