Официальное опубликование правовых актов
ОФИЦИАЛЬНОЕ ОПУБЛИКОВАНИЕ
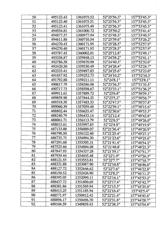
Постановление Губернатора Камчатского края от 11.03.2020 № 31
"О внесении изменений в постановление главы администрации Камчатской области от 14.11.1995 № 268 "Об организации зоологического заказника областного значения "Олений Дол"
Номер опубликования: 4100202003130002
Дата опубликования: 13.03.2020
Страница №14 из 22:
Увеличить