Официальное опубликование правовых актов
ОФИЦИАЛЬНОЕ ОПУБЛИКОВАНИЕ
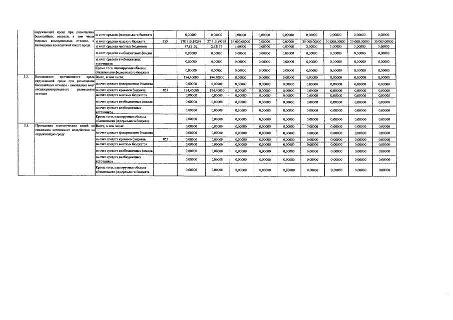
Постановление Правительства Камчатского края от 19.12.2019 № 539-П
"О внесении изменений в государственную программу Камчатского края "Обращение с отходами производства и потребления в Камчатском крае", утвержденную постановлением Правительства Камчатского края от 20.11.2017 № 488-П"
Номер опубликования: 4100201912200008
Дата опубликования: 20.12.2019
Страница №11 из 11:
Увеличить