Официальное опубликование правовых актов
ОФИЦИАЛЬНОЕ ОПУБЛИКОВАНИЕ
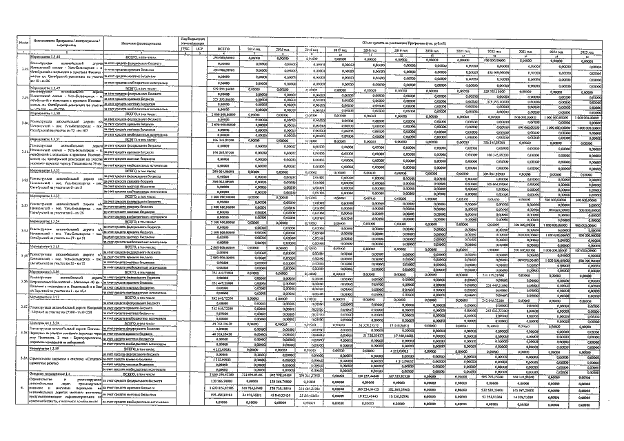
Постановление Правительства Камчатского края от 20.12.2019 № 545-П
"О внесении изменений в государственную программу Камчатского края "Развитие транспортной системы в Камчатском крае", утвержденную постановлением Правительства Камчатского края от 29.11.2013 № 551-П"
Номер опубликования: 4100201912200002
Дата опубликования: 20.12.2019
Страница №11 из 20:
Увеличить