Официальное опубликование правовых актов
ОФИЦИАЛЬНОЕ ОПУБЛИКОВАНИЕ
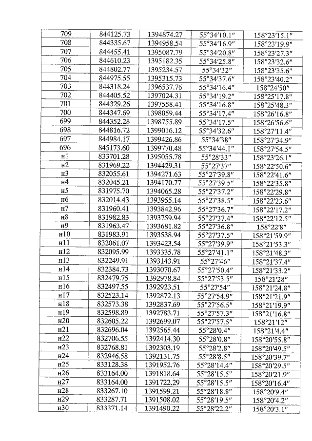
Постановление Губернатора Камчатского края от 18.12.2019 № 101
"О внесении изменений в постановление главы администрации Камчатской области от 08.06.1994 № 170 "Об организации заказников областного значения на территории Камчатской области"
Номер опубликования: 4100201912190005
Дата опубликования: 19.12.2019
Страница №13 из 52:
Увеличить