Официальное опубликование правовых актов
ОФИЦИАЛЬНОЕ ОПУБЛИКОВАНИЕ
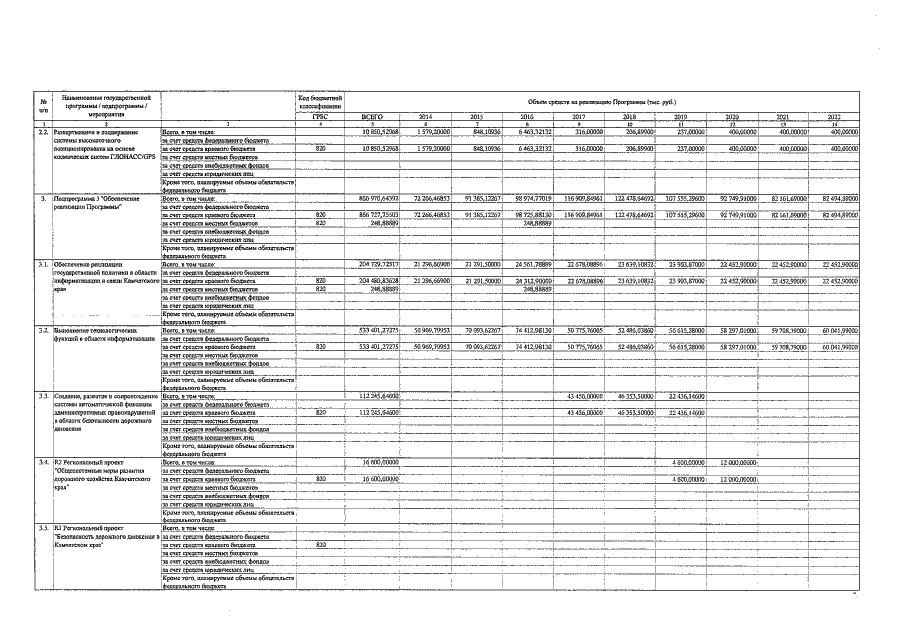
Постановление Правительства Камчатского края от 16.12.2019 № 529-П
"О внесении изменений в государственную программу Камчатского края "Информационное общество в Камчатском крае", утвержденную постановлением Правительства Камчатского края от 22.11.2013 № 512-П"
Номер опубликования: 4100201912170005
Дата опубликования: 17.12.2019
Страница №14 из 14:
Увеличить