Официальное опубликование правовых актов
ОФИЦИАЛЬНОЕ ОПУБЛИКОВАНИЕ
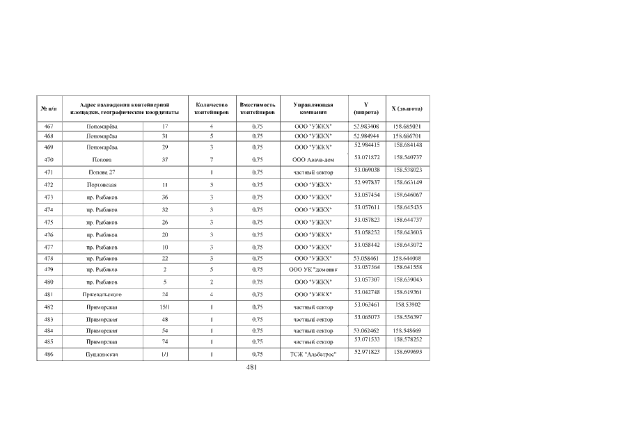
Постановление Правительства Камчатского края от 25.10.2019 № 454-П
"О внесении изменения в территориальную схему обращения с отходами, в том числе с твердыми коммунальными отходами, в Камчатском крае, утвержденную постановлением Правительства Камчатского края от 08.11.2016 № 444-П"
Номер опубликования: 4100201910310010
Дата опубликования: 31.10.2019
Страница №482 из 624:
Увеличить