Официальное опубликование правовых актов
ОФИЦИАЛЬНОЕ ОПУБЛИКОВАНИЕ
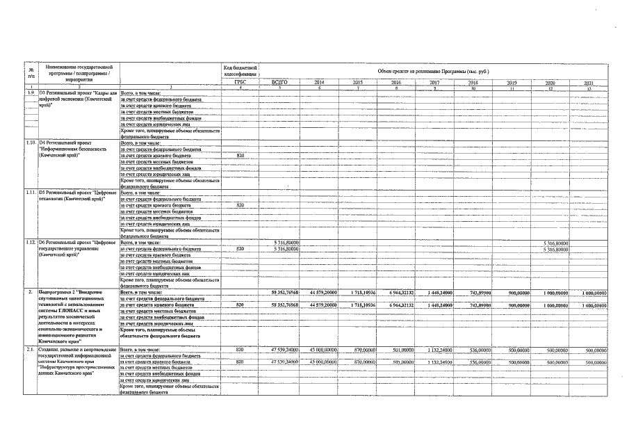
Постановление Правительства Камчатского края от 23.09.2019 № 408-П
"О внесении изменений в государственную программу Камчатского края "Информационное общество в Камчатском крае", утвержденную постановлением Правительства Камчатского края от 22.11.2013 № 512-П"
Номер опубликования: 4100201909260001
Дата опубликования: 26.09.2019
Страница №18 из 19:
Увеличить