Официальное опубликование правовых актов
ОФИЦИАЛЬНОЕ ОПУБЛИКОВАНИЕ
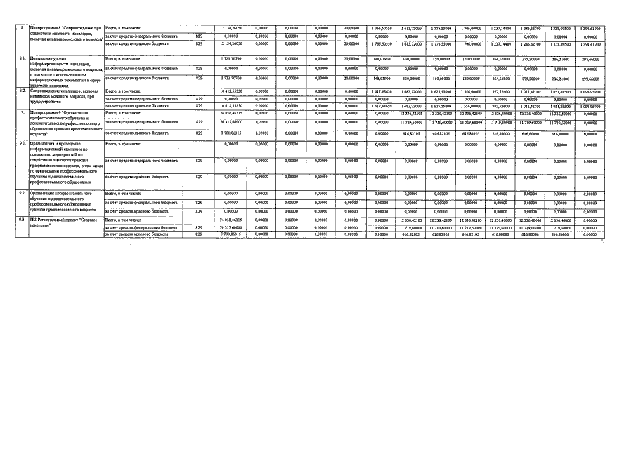
Постановление Правительства Камчатского края от 13.06.2019 № 266-П
"О внесении изменений в государственную программу Камчатского края "Содействие занятости населения Камчатского края", утверждённую постановлением Правительства Камчатского края от 11.11.2013 № 490-П"
Номер опубликования: 4100201906170010
Дата опубликования: 17.06.2019
Страница №9 из 9:
Увеличить