Официальное опубликование правовых актов
ОФИЦИАЛЬНОЕ ОПУБЛИКОВАНИЕ
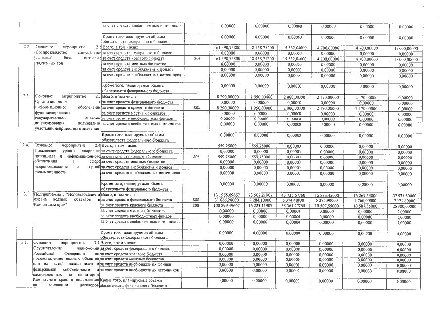
Постановление Правительства Камчатского края от 24.05.2019 № 238-П
"О внесении изменений в государственную программу Камчатского края "Охрана окружающей среды, воспроизводство и использование природных ресурсов в Камчатском крае", утверждённую постановлением Правительства Камчатского края от 03.11.2017 № 460-П"
Номер опубликования: 4100201905290002
Дата опубликования: 29.05.2019
Страница №6 из 7:
Увеличить