Официальное опубликование правовых актов
ОФИЦИАЛЬНОЕ ОПУБЛИКОВАНИЕ
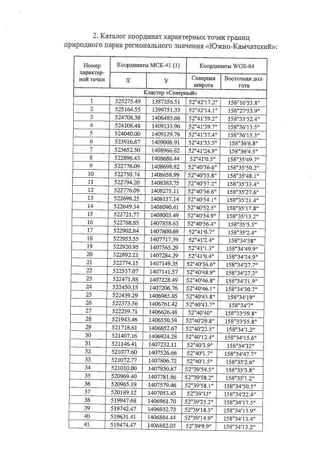
Постановление Губернатора Камчатского края от 18.04.2019 № 31
"О внесении изменений в постановление главы администрации Камчатской области от 18.08.1995 № 193 "О создании природного парка "Южно-Камчатский"
Номер опубликования: 4100201904230003
Дата опубликования: 23.04.2019
Страница №28 из 97:
Увеличить