Официальное опубликование правовых актов
ОФИЦИАЛЬНОЕ ОПУБЛИКОВАНИЕ
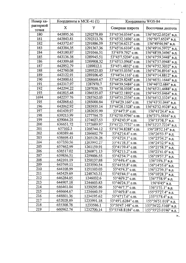
Постановление Губернатора Камчатского края от 18.04.2019 № 30
"О внесении изменений в постановление губернатора Камчатской области от 25.04.2006 № 206 "Об образовании государственного экспериментального биологического (лососевого) заказника регионального значения "Река Коль"
Номер опубликования: 4100201904230002
Дата опубликования: 23.04.2019
Страница №15 из 16:
Увеличить