Официальное опубликование правовых актов
ОФИЦИАЛЬНОЕ ОПУБЛИКОВАНИЕ
Постановление Правительства Камчатского края от 14.03.2019 № 125-П
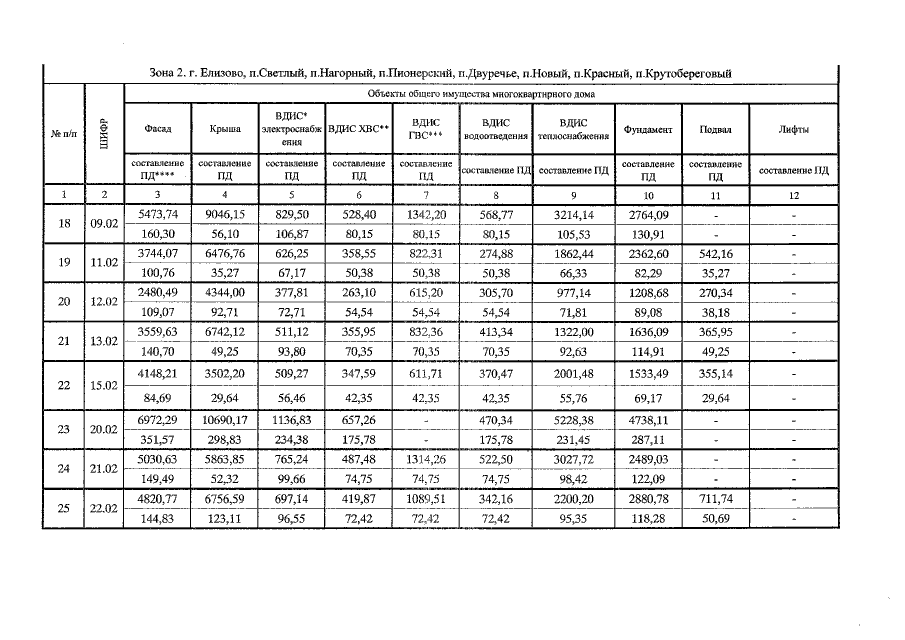
"О внесении изменения в приложение к постановлению Правительства Камчатского края от 03.06.2016 № 217-П "Об утверждении размера предельной стоимости услуг и (или) работ по капитальному ремонту общего имущества в многоквартирном доме в Камчатском крае на 2017-2019 годы"
Номер опубликования: 4100201903190006
Дата опубликования: 19.03.2019
Страница №5 из 21:
Увеличить