Официальное опубликование правовых актов
ОФИЦИАЛЬНОЕ ОПУБЛИКОВАНИЕ
Постановление Правительства Камчатского края от 10.01.2019 № 6-П
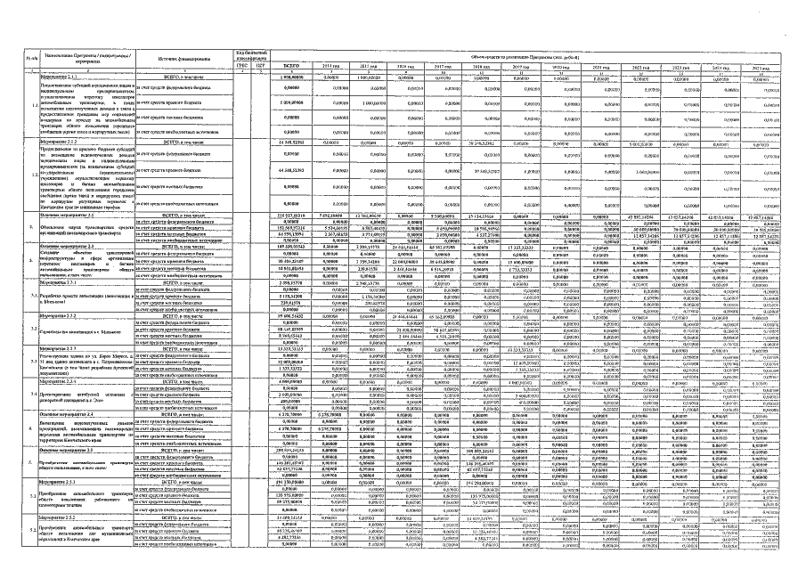
"О внесении изменений в государственную программу Камчатского края "Развитие транспортной системы в Камчатском крае", утвержденную постановлением Правительства Камчатского края от 29.11.2013 № 551-П"
Номер опубликования: 4100201901170005
Дата опубликования: 17.01.2019
Страница №18 из 21:
Увеличить