Официальное опубликование правовых актов
ОФИЦИАЛЬНОЕ ОПУБЛИКОВАНИЕ
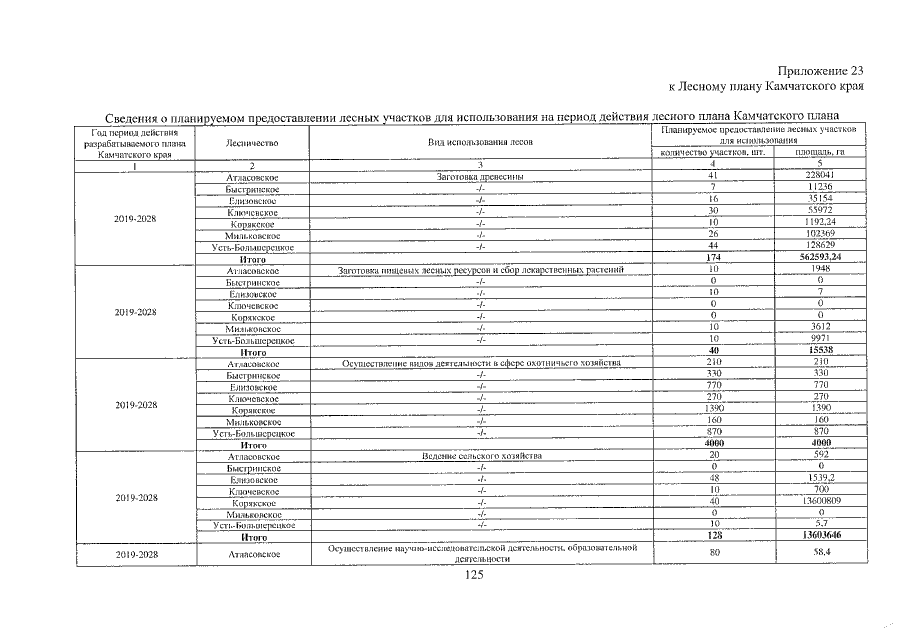
Постановление Губернатора Камчатского края от 21.12.2018 № 107
"Об утверждении Лесного плана Камчатского края на 2019-2028 годы"
Номер опубликования: 4100201812250013
Дата опубликования: 25.12.2018
Страница №126 из 187:
Увеличить