Официальное опубликование правовых актов
ОФИЦИАЛЬНОЕ ОПУБЛИКОВАНИЕ
Постановление Правительства Камчатского края от 30.07.2018 № 322-П
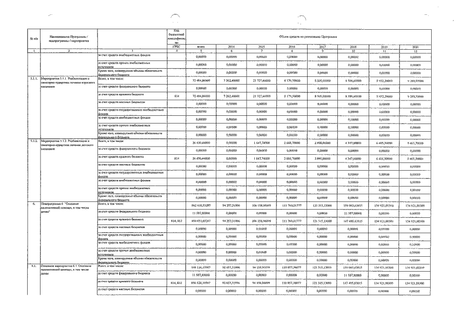
"О внесении изменений в государственную программу Камчатского края "Развитие здравоохранения Камчатского края", утверждённую постановлением Правительства Камчатского края от 29.11.2013 № 524-П"
Номер опубликования: 4100201807310003
Дата опубликования: 31.07.2018
Страница №30 из 39:
Увеличить