Официальное опубликование правовых актов
ОФИЦИАЛЬНОЕ ОПУБЛИКОВАНИЕ
Постановление Губернатора Камчатского края от 26.07.2018 № 58
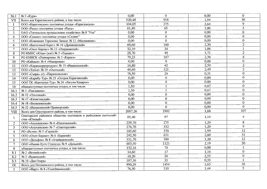
"Об утверждении лимитов добычи охотничьих ресурсов и квот добычи охотничьих ресурсов, за исключением таких лимитов и квот в отношении охотничьих ресурсов, находящихся на особо охраняемых природных территориях федерального значения, для Камчатского края на период с 01 августа 2018 года до 01 августа 2019 года"
Номер опубликования: 4100201807300011
Дата опубликования: 30.07.2018
Страница №28 из 55:
Увеличить