Официальное опубликование правовых актов
ОФИЦИАЛЬНОЕ ОПУБЛИКОВАНИЕ
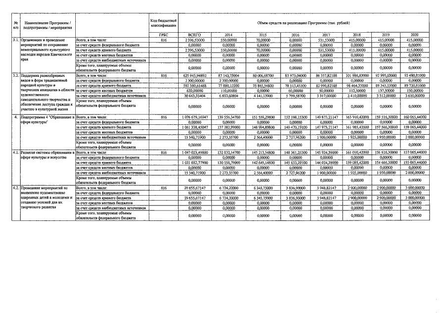
Постановление Правительства Камчатского края № 219-П
"О внесении изменений в государственную программу Камчатского края "Развитие культуры в Камчатском крае", утвержденную постановлением Правительства Камчатского края от 29.11.2013 № 545-П"
Номер опубликования: 4100201805300002
Дата опубликования: 30.05.2018
Страница №14 из 19:
Увеличить