Официальное опубликование правовых актов
ОФИЦИАЛЬНОЕ ОПУБЛИКОВАНИЕ
Постановление Правительства Камчатского края от 03.05.2018 № 175-П
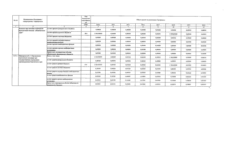
"О внесении изменений в государственную программу Камчатского края "Развитие здравоохранения Камчатского края", утверждённую постановлением Правительства Камчатского края от 29.11.2013 № 524-П"
Номер опубликования: 4100201805070003
Дата опубликования: 07.05.2018
Страница №34 из 34:
Увеличить