Официальное опубликование правовых актов
ОФИЦИАЛЬНОЕ ОПУБЛИКОВАНИЕ
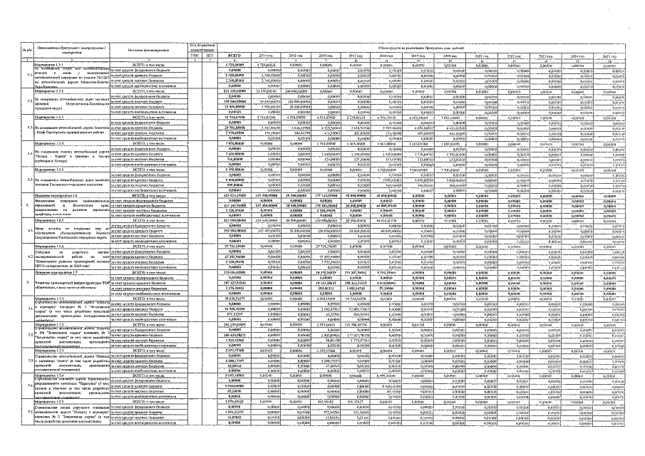
Постановление Правительства Камчатского края от 13.04.2018 № 147-П
"О внесении изменений в государственную программу Камчатского края "Развитие транспортной системы в Камчатском крае", утверждённую постановлением Правительства Камчатского края от 29.11.2013 № 551-П"
Номер опубликования: 4100201804170018
Дата опубликования: 17.04.2018
Страница №16 из 22:
Увеличить