Официальное опубликование правовых актов
ОФИЦИАЛЬНОЕ ОПУБЛИКОВАНИЕ
Постановление Правительства Камчатского края от 16.04.2018 № 151-П
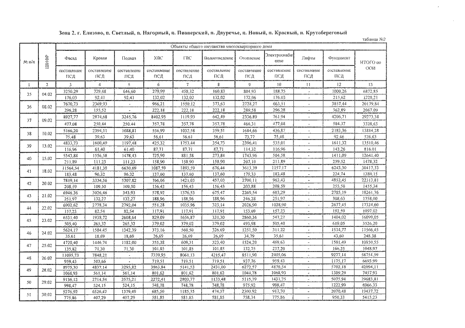
"О внесении изменений в постановление Правительства Камчатского края от 03.06.2016 № 217-П "Об утверждении размера предельной стоимости услуг и (или) работ по капитальному ремонту общего имущества в многоквартирном доме в Камчатском крае на 2017-2019 годы"
Номер опубликования: 4100201804170004
Дата опубликования: 17.04.2018
Страница №6 из 20:
Увеличить