Официальное опубликование правовых актов
ОФИЦИАЛЬНОЕ ОПУБЛИКОВАНИЕ
Постановление Правительства Камчатского края от 26.02.2018 № 84-П
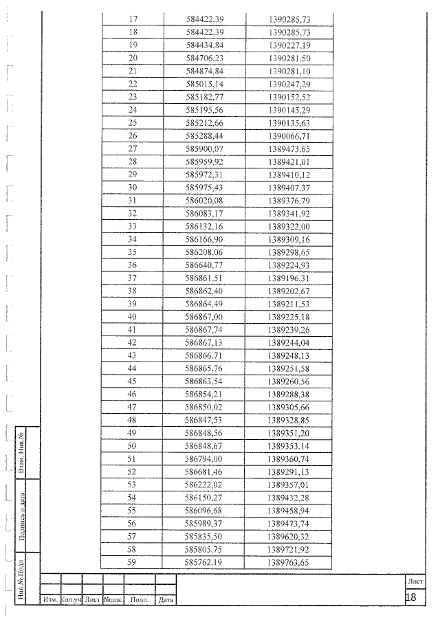
"О внесении изменений в постановление Правительства Камчатского края от 25.08.2017 № 356-П "Об утверждении документации по планировке территории для размещения линейного объекта регионального значения"
Номер опубликования: 4100201802280004
Дата опубликования: 28.02.2018
Страница №439 из 640:
Увеличить