Официальное опубликование правовых актов
ОФИЦИАЛЬНОЕ ОПУБЛИКОВАНИЕ
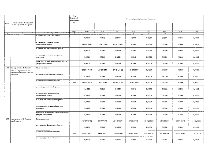
Постановление Правительства Камчатского края от 12.02.2018 № 62-П
"О внесении изменений в государственную программу Камчатского края "Развитие здравоохранения Камчатского края", утверждённую постановлением Правительства Камчатского края от 29.11.2013 № 524-П"
Номер опубликования: 4100201802140007
Дата опубликования: 14.02.2018
Страница №30 из 59:
Увеличить