Официальное опубликование правовых актов
ОФИЦИАЛЬНОЕ ОПУБЛИКОВАНИЕ
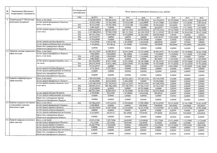
Постановление Правительства Камчатского края от 30.01.2018 № 37-П
"О внесении изменений в государственную программу Камчатского края "Развитие культуры в Камчатском крае", утверждённую постановлением Правительства Камчатского края от 29.11.2013 № 545-П"
Номер опубликования: 4100201801310003
Дата опубликования: 31.01.2018
Страница №18 из 21:
Увеличить