Официальное опубликование правовых актов
ОФИЦИАЛЬНОЕ ОПУБЛИКОВАНИЕ
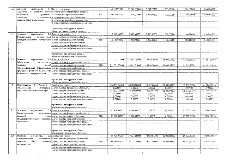
Постановление Правительства Камчатского края от 18.01.2018 № 11-П
"О внесении изменений в государственную программу Камчатского края "Охрана окружающей среды, воспроизводство и использование природных ресурсов в Камчатском крае", утверждённую постановлением Правительства Камчатского края от 03.11.2017 № 460-П"
Номер опубликования: 4100201801190002
Дата опубликования: 19.01.2018
Страница №5 из 7:
Увеличить