Официальное опубликование правовых актов
ОФИЦИАЛЬНОЕ ОПУБЛИКОВАНИЕ
Постановление Губернатора Камчатского края от 24.11.2017 № 101
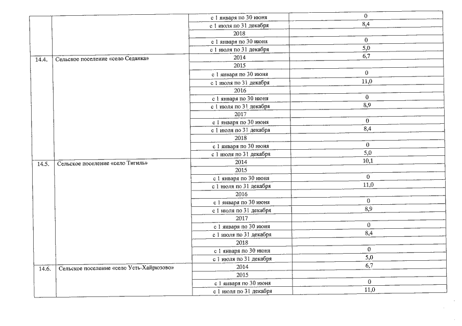
"О внесении изменений в постановление Губернатора Камчатского края от 30.04.2014 № 49 "Об установлении предельных (максимальных) индексов изменения размера вносимой гражданами платы за коммунальные услуги в муниципальных образованиях в Камчатском крае с 1 июля 2014 года по 2018 год"
Номер опубликования: 4100201711290005
Дата опубликования: 29.11.2017
Страница №23 из 41:
Увеличить