Официальное опубликование правовых актов
ОФИЦИАЛЬНОЕ ОПУБЛИКОВАНИЕ
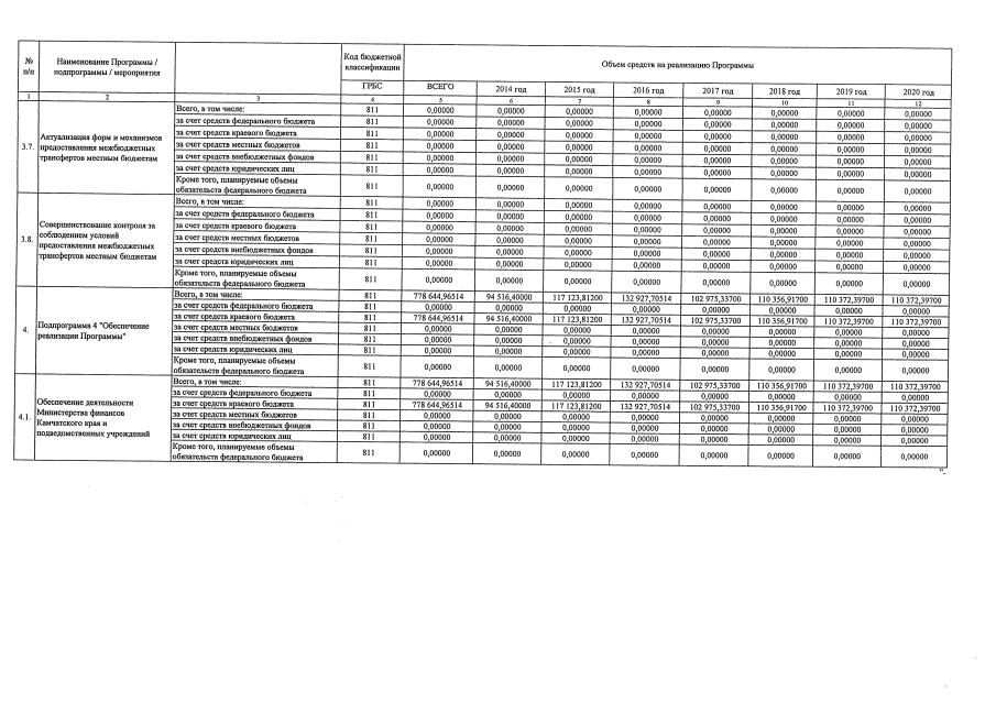
Постановление Правительства Камчатского края от 03.11.2017 № 461-П
"О внесении изменений в государственную программу Камчатского края "Управление государственными финансами Камчатского края", утверждённую постановлением Правительства Камчатского края от 22.11.2013 № 511-П"
Номер опубликования: 4100201711080001
Дата опубликования: 08.11.2017
Страница №9 из 9:
Увеличить