Официальное опубликование правовых актов
ОФИЦИАЛЬНОЕ ОПУБЛИКОВАНИЕ
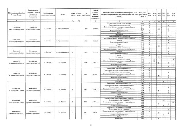
Постановление Правительства Камчатского края от 30.10.2017 № 451-П
"О внесении изменения в приложение к постановлению Правительства Камчатского края от 12.02.2014 № 74-П "Об утверждении региональной программы капитального ремонта общего имущества в многоквартирных домах в Камчатском крае на 2014-2043 годы"
Номер опубликования: 4100201711010003
Дата опубликования: 01.11.2017
Страница №54 из 389:
Увеличить