Официальное опубликование правовых актов
ОФИЦИАЛЬНОЕ ОПУБЛИКОВАНИЕ
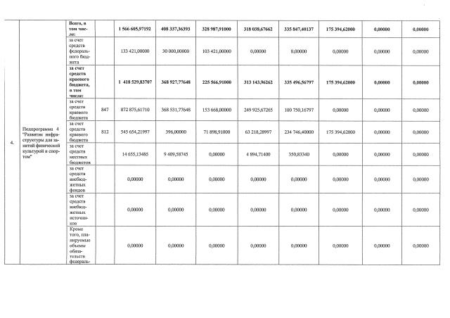
Постановление Правительства Камчатского края от 23.10.2017 № 439-П
"О внесении изменений в постановление Правительства Камчатского края от 29.11.2013 № 552-П "О государственной программе Камчатского края "Физическая культура, спорт, молодёжная политика, отдых и оздоровление детей в Камчатском крае"
Номер опубликования: 4100201710240003
Дата опубликования: 24.10.2017
Страница №20 из 41:
Увеличить