Официальное опубликование правовых актов
ОФИЦИАЛЬНОЕ ОПУБЛИКОВАНИЕ
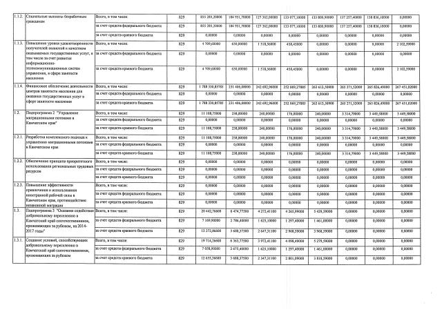
Постановление Правительства Камчатского края от 11.10.2017 № 422-П
"О внесении изменений в государственную программу Камчатского края "Содействие занятости населения Камчатского края", утверждённую постановлением Правительства Камчатского края от 11.11.2013 № 490-П"
Номер опубликования: 4100201710120002
Дата опубликования: 12.10.2017
Страница №11 из 14:
Увеличить