Официальное опубликование правовых актов
ОФИЦИАЛЬНОЕ ОПУБЛИКОВАНИЕ
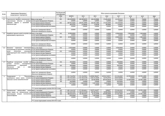
Постановление Правительства Камчатского края от 21.09.2017 № 383-П
"О внесении изменений в государственную программу Камчатского края "Обеспечение доступным и комфортным жильём жителей Камчатского края", утверждённую постановлением Правительства Камчатского края от 22.11.2013 № 520-П"
Номер опубликования: 4100201709260005
Дата опубликования: 26.09.2017
Страница №15 из 20:
Увеличить