Официальное опубликование правовых актов
ОФИЦИАЛЬНОЕ ОПУБЛИКОВАНИЕ
Постановление Губернатора Камчатского края от 31.07.2017 № 69
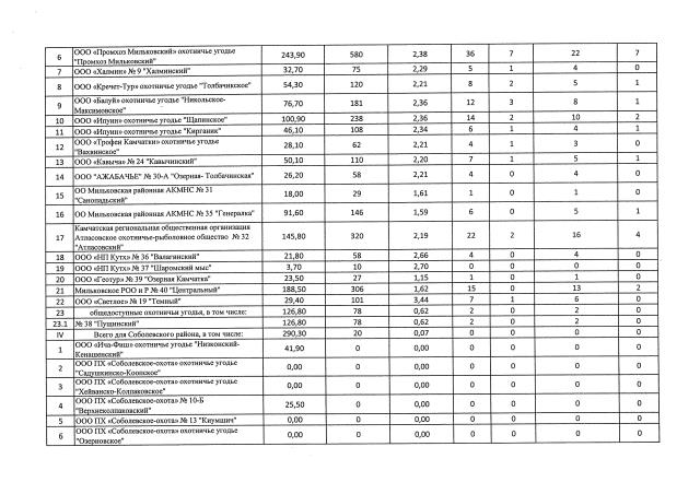
"Об утверждении лимитов добычи охотничьих ресурсов и квот добычи охотничьих ресурсов, за исключением таких лимитов и квот в отношении охотничьих ресурсов, находящихся на особо охраняемых природных территориях федерального значения, для Камчатского края на период с 01 августа 2017 года до 01 августа 2018 года"
Номер опубликования: 4100201708010001
Дата опубликования: 01.08.2017
Страница №7 из 67:
Увеличить