Официальное опубликование правовых актов
ОФИЦИАЛЬНОЕ ОПУБЛИКОВАНИЕ
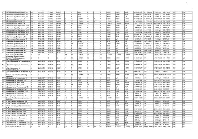
Постановление Правительства Камчатского края от 14.07.2017 № 273-П
"О внесении изменений в государственную программу Камчатского края "Обеспечение доступным и комфортным жильем жителей Камчатского края", утвержденную постановлением Правительства Камчатского края от 22.11.2013 № 520-П"
Номер опубликования: 4100201707180009
Дата опубликования: 18.07.2017
Страница №28 из 54:
Увеличить