Официальное опубликование правовых актов
ОФИЦИАЛЬНОЕ ОПУБЛИКОВАНИЕ
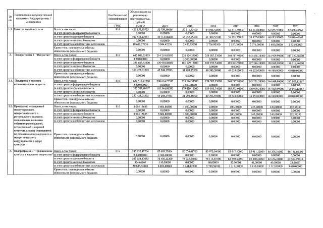
Постановление Правительства Камчатского края от 10.07.2017 № 271-П
"О внесении изменений в государственную программу Камчатского края "Развитие культуры в Камчатском крае", утвержденную постановлением Правительства Камчатского края от 29.11.2013 № 545-П"
Номер опубликования: 4100201707120004
Дата опубликования: 12.07.2017
Страница №16 из 19:
Увеличить