Официальное опубликование правовых актов
ОФИЦИАЛЬНОЕ ОПУБЛИКОВАНИЕ
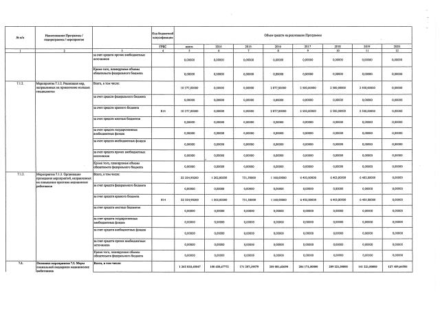
Постановление Правительства Камчатского края от 10.07.2017 № 268-П
"О внесении изменений в государственную программу Камчатского края "Развитие здравоохранения Камчатского края", утвержденную постановлением Правительства Камчатского края от 29.11.2013 № 524-П"
Номер опубликования: 4100201707110001
Дата опубликования: 11.07.2017
Страница №40 из 52:
Увеличить