Официальное опубликование правовых актов
ОФИЦИАЛЬНОЕ ОПУБЛИКОВАНИЕ
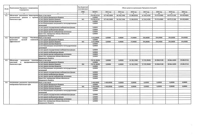
Постановление Правительства Камчатского края от 05.07.2017 № 258-П
"О внесении изменений в приложение к постановлению Правительства Камчатского края от 29.11.2013 № 521-П "О государственной программе Камчатского края "Развитие экономики и внешнеэкономической деятельности Камчатского края"
Номер опубликования: 4100201707060005
Дата опубликования: 06.07.2017
Страница №43 из 50:
Увеличить