Официальное опубликование правовых актов
ОФИЦИАЛЬНОЕ ОПУБЛИКОВАНИЕ
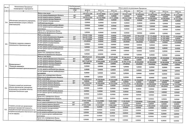
Постановление Правительства Камчатского края от 26.06.2017 № 247-П
"О внесении изменений в государственную программу Камчатского края "Развитие сельского хозяйства и регулирование рынков сельскохозяйственной продукции, сырья и продовольствия Камчатского края", утвержденную постановлением Правительства Камчатского края от 29.11.2013 № 523-П"
Номер опубликования: 4100201706270003
Дата опубликования: 27.06.2017
Страница №16 из 21:
Увеличить