Официальное опубликование правовых актов
ОФИЦИАЛЬНОЕ ОПУБЛИКОВАНИЕ
Постановление Правительства Камчатского края от 10.05.2017 № 197-П
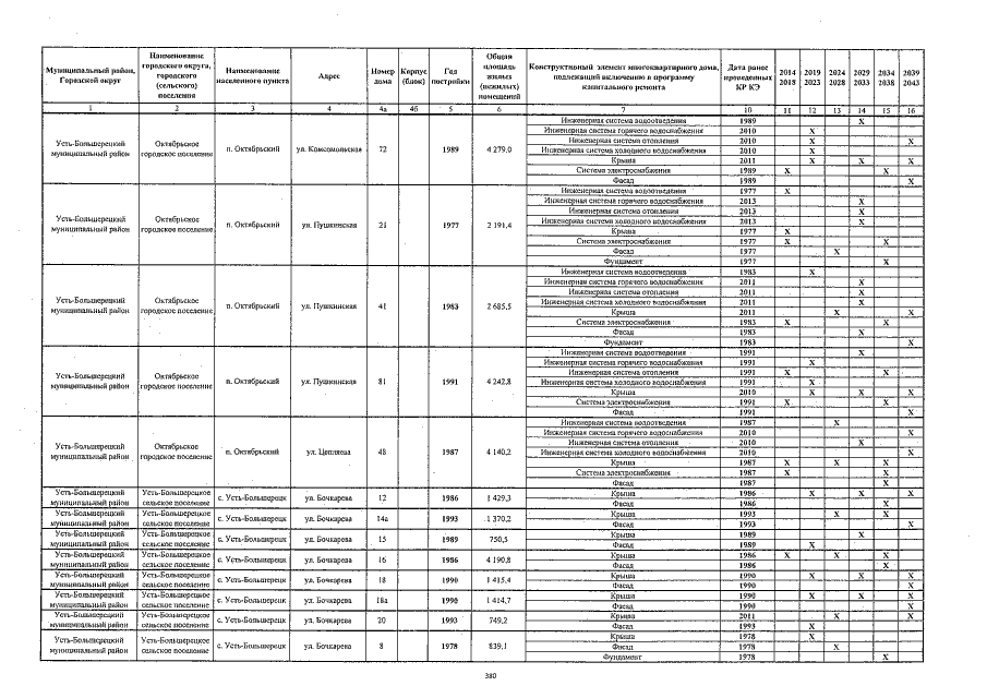
"О внесении изменения в приложение к постановлению Правительства Камчатского края от 12.02.2014 № 74-П "Об утверждении региональной программы капитального ремонта общего имущества в многоквартирных домах в Камчатском крае на 2014-2043 годы"
Номер опубликования: 4100201705170004
Дата опубликования: 17.05.2017
Страница №381 из 404:
Увеличить