Официальное опубликование правовых актов
ОФИЦИАЛЬНОЕ ОПУБЛИКОВАНИЕ
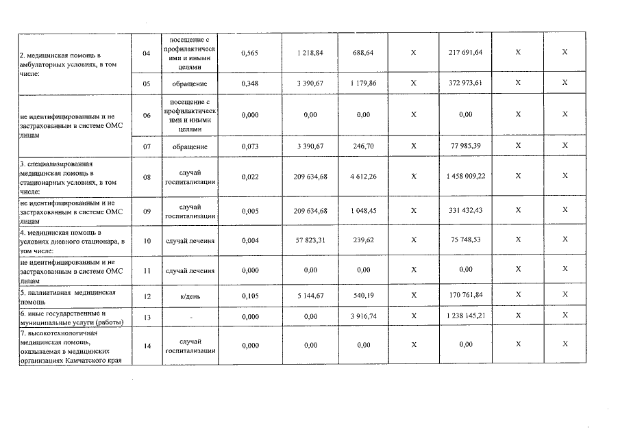
Постановление Правительства Камчатского края от 06.04.2017 № 140-П
"О внесении изменений в приложение к постановлению Правительства Камчатского края от 23.12.2016 № 524-П "Об утверждении Территориальной программы государственных гарантий бесплатного оказания гражданам медицинской помощи на территории Камчатского края на 2017 год и на плановый период 2018 и 2019 годов"
Номер опубликования: 4100201704120010
Дата опубликования: 12.04.2017
Страница №19 из 23:
Увеличить