Официальное опубликование правовых актов
ОФИЦИАЛЬНОЕ ОПУБЛИКОВАНИЕ
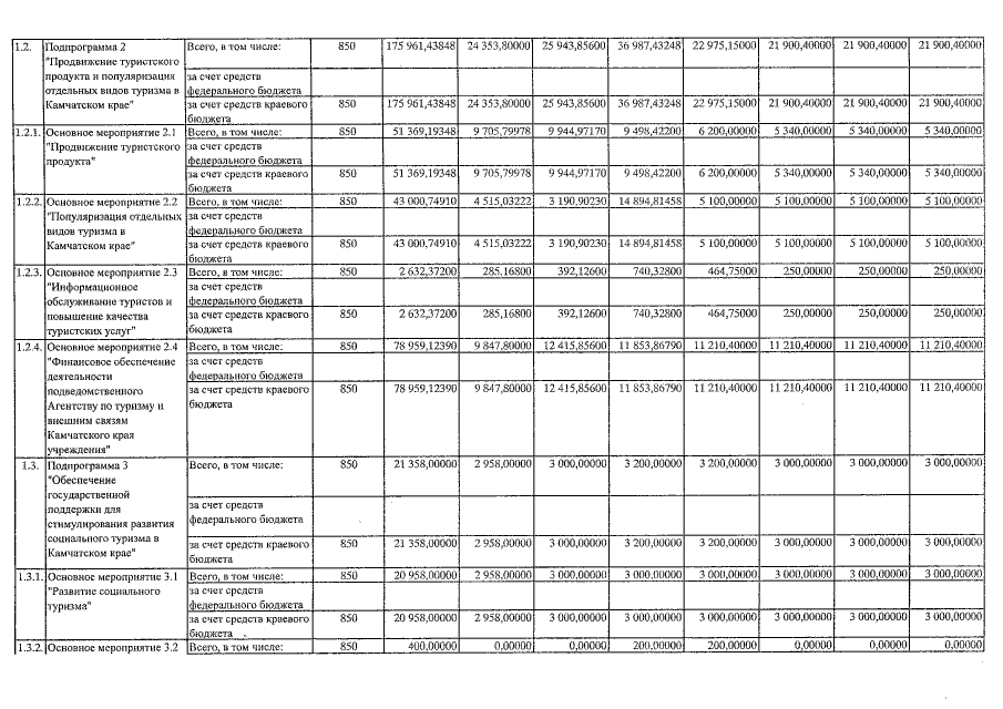
Постановление Правительства Камчатского края от 16.02.2017 № 61-П
"О внесении изменений в государственную программу Камчатского края "Развитие внутреннего и въездного туризма в Камчатском крае", утверждённую постановлением Правительства Камчатского края от 29.11.2013 № 554-П"
Номер опубликования: 4100201702210002
Дата опубликования: 21.02.2017
Страница №5 из 6:
Увеличить